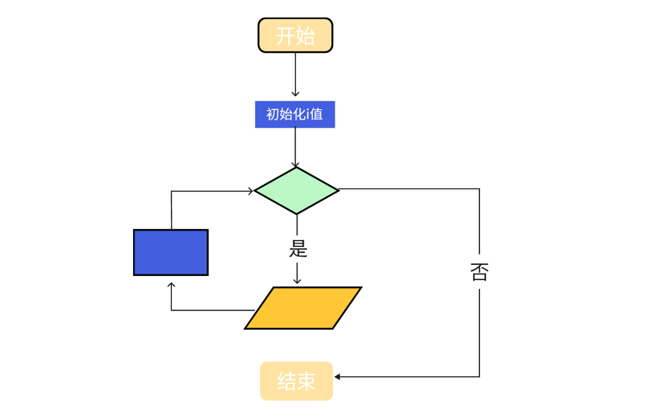
for 循环流程图
1422026.04.07
0
0
手机扫码浏览/分享
微信
QQ
QQ空间
新浪微博
百度贴吧
复制链接 下载模板
for 循环(如 for i in range())的流程图逻辑如下:首先初始化循环变量 i,从 range() 生成的序列起始值开始;然后判断 i 是否在指定范围内,若在,则执行循环体;执行完毕后,i 自动递增(或按步长变化),再次判断是否仍在范围内;如此重复,直至 i 超出范围,循环结束。整个过程体现了“先判断、再执行、后更新”的控制流结构,适用于已知循环次数的场景,简洁高效。
版权信息: 「知识共享 - 署名 4.0」 举报